Подготовились на семерку
27.11.2009 1892
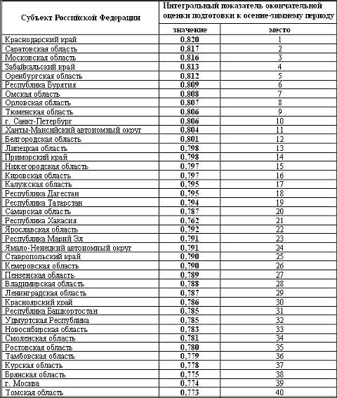
Омская область заняла седьмое место в рейтинге регионов по качеству подготовки к зиме. Минрегион России оценил подготовку ЖКХ субъектов РФ к отопительному периоду 2009-2010 годов и определил рейтинги эффективности деятельности органов исполнительной власти. Лидером стал Краснодарский край, столица заняла 39 место, замыкает рейтинг Чечня.
Как сообщает Минрегион РФ, рейтинги формировались на основании отчетов регионов о подготовке к прохождению отопительного периода 2009-2010 годов. В частности, рейтинг снижается если регион не выполнил к 1 ноября плановые предзимние работам, не сформировал запас топлива и ресурсов для ликвидации аварий на объектах ЖКХ, не отчитался о запасах резервного топлива для котельных. Понижающие коэффициенты применялись также при отсутствии на части котельных резервных источников электроснабжения и резервных котлов (на другое топливо). Регионам, в которых при подготовке и начале отопительного периода произошли тяжелые аварийные ситуации и технологические нарушения, рейтинг снижался (Пермский край, Самарская область и др.).
До максимальной оценки не дотянул ни один регион. В первой десятке результаты оказались довольно близки - Краснодарский край (0,820) от Санкт-Петербурга (0,806) отделяют всего 0,014. У Омской области, оказавшейся на седьмом месте, интегрированный результат составляет 0,807. В десятку вошли еще два сибирских региона - Забайкальский край (0,813) и Республика Бурятия (0,809).
После завершения отопительного периода Минрегион России определит новые рейтинги - оценки эффективности по итогам осенне-зимнего периода 2009-2010 годов, с учетом подготовки к осенне-зимнему периоду.
Оценка эффективности деятельности органов исполнительной власти
субъектов Российской Федерации по итогам подготовки к осенне-зимнему
периоду 2009-2010 годов (первые 40 из 83)

Подписывайтесь на новости недвижимости в Омске от omskrielt.com во ВКонтакте
